Această pagină web folosește cookie-uri pentru a îmbunătăți experiența de navigare și a asigura funcționalițăți adiționale.
Sunt de acord
Caută...
Caută
Acasa
Despre noi
Servicii
Servicii medicale
Facilități
Evenimente
Social-culturale
Adunări generale
Media
Reviste
Foto
Video
Social
Facebook
YouTube
Metodologie
Contact
2025
2024
2020
2016
2015
2012
Metodologie 2012
Cum să devii membru
Ajutoare Rambursabile
Ajutoare Rambursabile
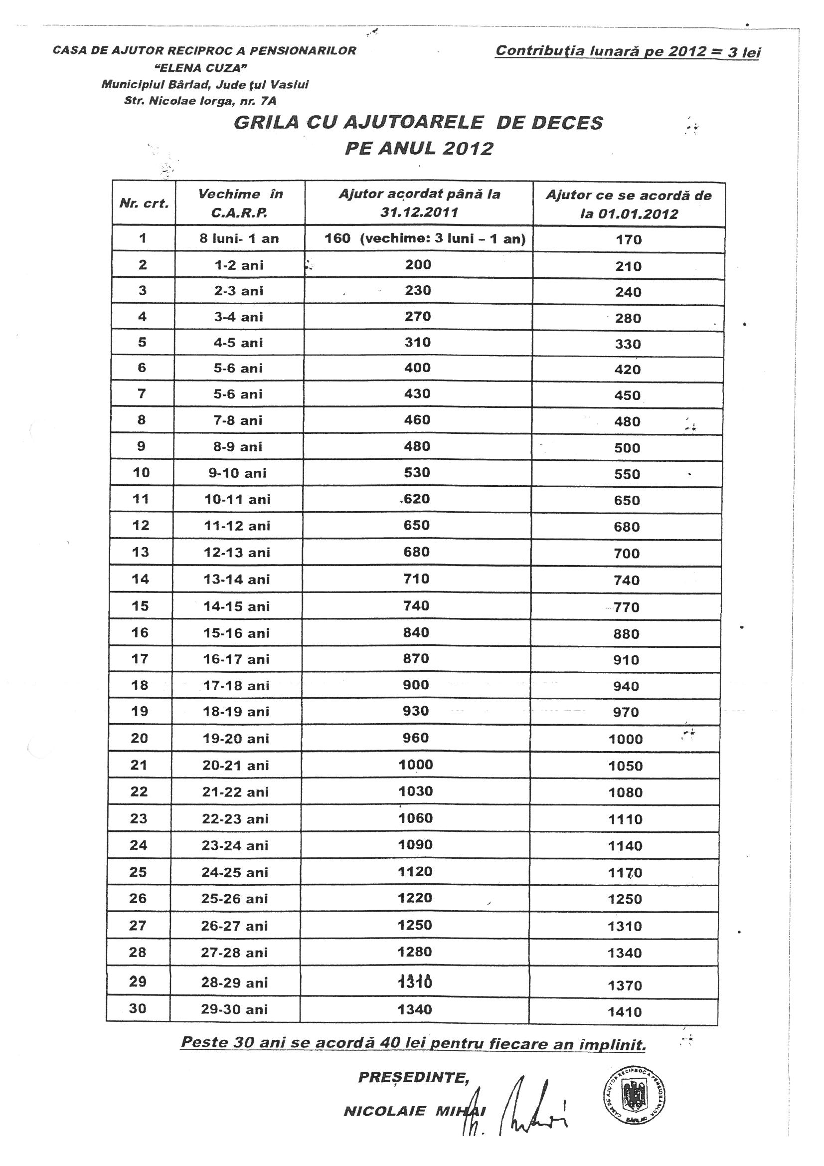
Grila Ajutoare Deces
Sus